| GK Mathematik |
Arbeitsblatt STO3: |
JSt. 12/2 |
| NAME: | ||
n Kugeln k Ziehungen |
mit Zurücklegen |
ohne Zurücklegen |
mit Beachtung der Reihenfolge |
nk |
Sonderfall: k=n: n! |
ohne Beachtung der Reihenfolge |
|
|
Beim Lotto:
n Kugeln, k Ziehungen mit einem Griff, r Richtige:

| Gewinnrang | Anzahl der verschiedenen Tipps | Wahrscheinlichkeit im Rang zu gewinnen | Gewinnchance |
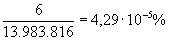
| (1) 6R + S | 1 | ![]() |
1:139.838.160 |
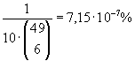
| (2) 6R o S | 9 | ![]() |
1:15.537.573 |
| (3) 5R + Z | 1:2.330.636 | ||
| (4) 5R o Z | 1:55491 | ||
| (5) 4R | 1:1032 | ||
| (6) 3R | 1:57 | ||
| Gesamt Gewinnen: | 1:54 | ||
| 2 R | 13,2% | 1:8 | |
| 1 R | 41,3% | 1:2 | |
| 0 R | 43,6% | 1:2 | |
| Gesamt Verlieren: | 1:1,01 |
© Ralph-Erich Hildebrandt, Neuss / 1. April 1999