GK Mathematik

Arbeitsblatt STO1:

Grundregeln der Wahrscheinlichkeitsrechnung

JSt. 12/2

NAME:

Elementare Summenregel:

Sind zwei Ereignisse A und B disjunkt, dann gilt:

Allgemeine Summenregel:

Für zwei Ereignisse A und B gilt:

Komplementärregel:

Für ein Ereignis E und sein Gegenereignis gilt:

Pfadmultiplikationsregel:

Bei einem mehrstufigen Zufallsversuch ist die Wahrscheinlichkeit eines (durch einen Pfad dargestellten) Ereignisse gleich dem Produkt der Wahrscheinlichkeiten längs des zugehörigen Pfades.

Pfadadditionsregel:

Setzt sich bei einem mehrstufigen Zufallsversuch ein Ereignis aus verschiedenen Pfaden zusammen, dann erhält man die Wahrscheinlichkeit des Ereignisses durch Addition der einzelnen Pfadwahrscheinlichkeiten.

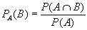
Bedingte Wahrscheinlichkeit:

Für zwei Ereignisse A und B mit P(A)¹ 0 ist die durch A bedingte Wahrscheinlichkeit von B:

Satz von der totalen Wahrscheinlichkeit:

Sind P(A)¹ 0 und P()¹ 0, so gilt für ein beliebiges Ereignis B:

Satz von Bayes:

Für zwei Ereignisse A und B mit P(A)¹ 0, P()¹ 0 und P(B)¹ 0 gilt:


© Ralph-Erich Hildebrandt, Neuss / 1. April 1999