|
GK Mathematik |
Arbeitsblatt BST 2: |
JSt. 11.1 |
|
NAME: |
||
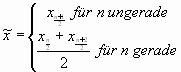
Median
Unter dem Median versteht man den Wert, der bei einer geordneten Stichprobe den mittleren Wert darstellt. Ist die Zahl der Elemente n der Stichprobe gerade, dann ist das arithmetische Mittel der beiden mittleren Werte der Median.
Es gilt für den Median
einer
Stichprobe
:

Der Median minimiert die Summe der Einzelabweichungen:
![]()
Mittelwert
Der Mittelwert ist derjenige Wert, den man erhält, wenn man alle Werte der Stichprobe ausgleicht.
Es gilt für den Mittelwert
einer
Stichprobe
:
![]()
Der Mittelwert minimiert die Summe der Quadrate der Einzelabweichungen:
![]()
Modalwert
Unter dem Modalwert oder Modus einer Stichprobe versteht man denjenigen Wert, der in einer Stichprobe die größte Ausprägung besitzt.
Es gilt für den Modalwert m einer Stichprobe
mit den absoluten Häufigkeiten
:
![]()