GK Mathematik

Arbeitsblatt GW3c
Grenzwerte für x
® + ¥
Grenzwerte von gebrochenrat. Fkt. (3)

JSt. 11/1

NAME:

Bestimmen sie mit DERIVE für folgende Funktionen die Grenzwerte mittels der DERIVE-Funktion Analysis - Grenzwert. Ausdruck ist jeweils ihre markierte Funktion. Variable ist jeweils x. Tragen sie unter Punkt jeweils inf ein. Lassen sie die Option von auf Both stehen.

Schauen sie sich auch jeweils die Funktionsgraphen (Grafik - Beside) an (große, positive x-Werte!).

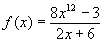
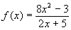
Funktion

Grenzwert

Grade

  Zählergrad:
Nennergrad:

  Zählergrad:
Nennergrad:

  Zählergrad:
Nennergrad:

  Zählergrad:
Nennergrad:

  Zählergrad:
Nennergrad:

  Zählergrad:
Nennergrad:

Zunächst eine Definition:

Eine Funktion ¦ (x) hat für x gegen Unendlich den uneigentlichen Grenzwert , wenn es zu jeder Zahl S Î IR eine Zahl X(S) gibt, so daß für alle gilt: .

Formulieren sie jetzt eine Regel:

 

Ist bei einer gebrochenrationalen Funktion ¦ (x) der Zählergrad größer als der Nennergrad [gilt also n = Grad Z(x) > Grad N(x) = m] mit mit n > m, so gilt stets:

oder .


Der Graph läuft entweder nach ______ rechts im ____ Quadranten oder _____ links im 4. Quadranten.


©Ralph-Erich Hildebrandt/November 1997