GK Mathematik

Arbeitsblatt GW3b
Grenzwerte für x
® + ¥
Grenzwerte von gebrochenrat. Fkt. (2)

JSt. 11/1

NAME:

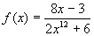
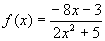
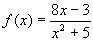
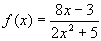
Bestimmen sie mit DERIVE für folgende Funktionen die Grenzwerte mittels der DERIVE-Funktion Analysis - Grenzwert. Ausdruck ist jeweils ihre markierte Funktion. Variable ist jeweils x. Tragen sie unter Punkt jeweils inf ein. Lassen sie die Option von auf Both stehen.

Schauen sie sich auch jeweils die Funktionsgraphen (Grafik - Beside) an (große, positive x-Werte!).

Funktion

Grenzwert

Grade

  Zählergrad:
Nennergrad:

  Zählergrad:
Nennergrad:

  Zählergrad:
Nennergrad:

  Zählergrad:
Nennergrad:

  Zählergrad:
Nennergrad:

  Zählergrad:
Nennergrad:

Formulieren sie jetzt eine Regel:

 

Ist bei einer gebrochenrationalen Funktion ¦ (x) der Zählergrad kleiner als der Nennergrad [gilt also n = Grad Z(x) < Grad N(x) = m] mit mit n < m, so gilt stets: .

Der Graph verläuft asymptotisch gegen die _____________.


©Ralph-Erich Hildebrandt/November 1997