| GK
Mathematik |
Arbeitsblatt GW3a |
JSt. 11/1 |
| NAME: | ||
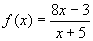
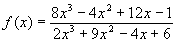
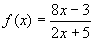
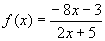
Wir wollen heute Regeln für Grenzwerte von gebrochenrationalen Funktionen aufstellen.
Bestimmen sie daher mit DERIVE für folgende Funktionen die Grenzwerte mittels der DERIVE-Funktion Analysis - Grenzwert. Ausdruck ist jeweils ihre markierte Funktion. Variable ist jeweils x. Tragen sie unter Punkt jeweils inf ein. Lassen sie die Option von auf Both stehen.
Schauen sie sich auch jeweils die Funktionsgraphen (Grafik - Beside) an (große, positive x-Werte!).
Funktion |
Grenzwert |
Grade |
|
Zählergrad: Nennergrad: |
|
|
Zählergrad: Nennergrad: |
|
|
Zählergrad: Nennergrad: |
|
|
Zählergrad: Nennergrad: |
|
|
Zählergrad: Nennergrad: |
|
|
Zählergrad: Nennergrad: |
Formuliere jetzt eine Regel:
Ist bei einer
gebrochenrationalen Funktion ¦ (x) der Zählergrad gleich dem Nennergrad [gilt
also Grad Z(x) = Grad N(x) = n] mit
, so gilt stets:
.
Der Graph verläuft asymptotisch gegen eine _____________ zur
__________ im Abstand __________.
© Ralph-Erich Hildebrandt/November 1997