| GK
Mathematik |
Arbeitsblatt FKT3c: |
JSt. 11/1 |
| NAME: | ||
Ausgangspunkt ist der Graph der
unverschobenen Hyperbel
.

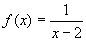
Nun wird der Graph um zwei Einheiten nach
rechts verschoben. Der Funktionsterm lautet dann:
.

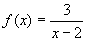
Jetzt wird der Graph noch um drei Einheiten
gestreckt. Funktionsterm:
.
