GK Mathematik

FKT 3
Funktionsatlas
Einfache gebrochen-rationale Funktionen

JSt. 11/1

NAME:

Definition (gebrochen-rationale Funktion):

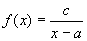
Eine Funktion ¦ heißt gebrochen-rationale Funktion, wenn sich ihr Term ¦ (x) in der Form schreiben läßt. Dabei sind Z(x) und N(x) Polynome. N(x) darf nicht das Nullpolynom sein.

Wir wollen hier nur gebrochen-rationale Funktionen vom einfachen Typ mit a,c ΠIR untersuchen.

  1. Geben Sie daher in DERIVE für folgende Werte a und c jeweils diese Funktionen ein und lassen sich den Graphen der Funktion anzeigen.
    Übertragen Sie jeweils einen der Graphen für unterschiedliche a-Werte in Ihre Mitschrift!
    Ein Beispiel: a = 1 und c = 1 liefert die Funktion . Beachten Sie, daß Sie in DERIVE um den Nenner immer Klammern setzen müssen:
    1 / (x – 1)¿
  2. a = 1 c = 1; 5 und 7
    a = –3 c = 1; –2 und 5
    a = 2 c = 1; –3 und 5
  3. Skizzieren Sie in Ihre Mitschrift ohne DERIVE zu verwenden, die Graphen von und .
  4.  
  5. Beschreiben Sie allgemein, was mit dem Graphen passiert

Definition (Definitionslücke):

Diejenigen Stellen einer gebrochen-rationalen Funktion , an denen   ist, heißen Definitionslücken.

 

Definition (Polstelle; vorläufig):

Schmiegt sich der Graph einer gebrochen-rationalen Funktion nah an eine vertikale Gerade x = a an, wobei a eine Definitionslücke der gebrochen-rationalen Funktion ist, dann heißt a eine Polstelle.


© Ralph-Erich Hildebrandt, Neuss / 2. Oktober 1997